[最も人気のある!] log 64 x=2/3 244227-Log 64 x=2/3
Log b x = y with b being the base, x being a real number, and y being an exponent For example, 2 3 = 8 ⇒ log 2 8 = 3 (the logarithm of 8 to base 2 is equal to 3, because 2 3 = 8) Similarly, log 2 64 = 6, because 2 6 = 64 Therefore, it is obvious that logarithm operation is anSolution for Log (x)64=6 equation Simplifying Log (x) * 64 = 6 Reorder the terms for easier multiplication 64goL * x = 6 Multiply goL * x 64goxL = 6 Solving 64goxL = 6 Solving for variable 'g' Move all terms containing g to the left, all other terms to the right Divide each side by '64oxL' g = o 1 x 1 L 1 Simplifying g = oSolve for x log base x of 64=2 logx (64) = 2 log x ( 64) = 2 Rewrite logx (64) = 2 log x ( 64) = 2 in exponential form using the definition of a logarithm If x x and b b are positive real numbers and b b ≠ ≠ 1 1, then logb(x) = y log b ( x) = y is equivalent to by = x b y = x x2 = 64 x 2 = 64 Solve for x x
Contribution Of Substrate Reorganization Energies Of Electron Transfer To Laccase Activity Physical Chemistry Chemical Physics Rsc Publishing Doi 10 1039 C9cpb
Log 64 x=2/3
Log 64 x=2/3-The equation given is,log x 2 16log 2x 64=3Equation is defined when,x>0 and x = 21 ,1Now 21 log x 4 2log 2x 4 3=3⇒log x 43(log 2x 4)=3,∵log a n b m= nm log a b⇒2log x 26log 2x 2=3⇒ (log 2 x)2 (log 2 x)6 =3,∵log b a= log a b1 ⇒ (log 2 x)2 (log 2 2log 2 x)6 =3⇒ t2 (1t)6 =3,∵log(ab)=logalogb&log a a=1, where tLog64x=2/3 Simple and best practice solution for log64x=2/3 equation Check how easy it is, and learn it for the future Our solution is simple, and easy to understand, so don`t hesitate to use it as a solution of your homework If it's not what You are looking for type in the equation solver your own equation and let us solve it



Expanding Logarithms Chilimath
Log3 Log3 makes it easier to log messages in Python It comes with a strong default logging configuration system so you don't configure them yourself Here are it's main highlights Easy to use Just import the module and start using it This will work for most casesSimple and best practice solution for Log64x=1/3 equation Check how easy it is, and learn it for the future Our solution is simple, and easy to understand,Solve your math problems using our free math solver with stepbystep solutions Our math solver supports basic math, prealgebra, algebra, trigonometry, calculus and more
Base 10 is commonly used in science and engineering, base e in math and physics, and base 2 in computer science Basic Log Rules When the argument of a logarithm is the product of two numerals, the logarithm can be rewritten as the addition of the logarithm of each of the numerals log b (x × y) = log b x log b yGet an answer for 'Solve log 2 (3x ) log 4 ( x2) = 3' and find homework help for other Math questions at eNotesAlgebra Solve for x log base x of 64=3/2 logx (64) = 3 2 log x ( 64) = 3 2 Rewrite logx (64) = 3 2 log x ( 64) = 3 2 in exponential form using the definition of a logarithm If x x and b b are positive real numbers and b b ≠ ≠ 1 1, then logb(x) = y log b ( x) = y is equivalent to by = x b y = x x3 2 = 64 x 3 2 = 64
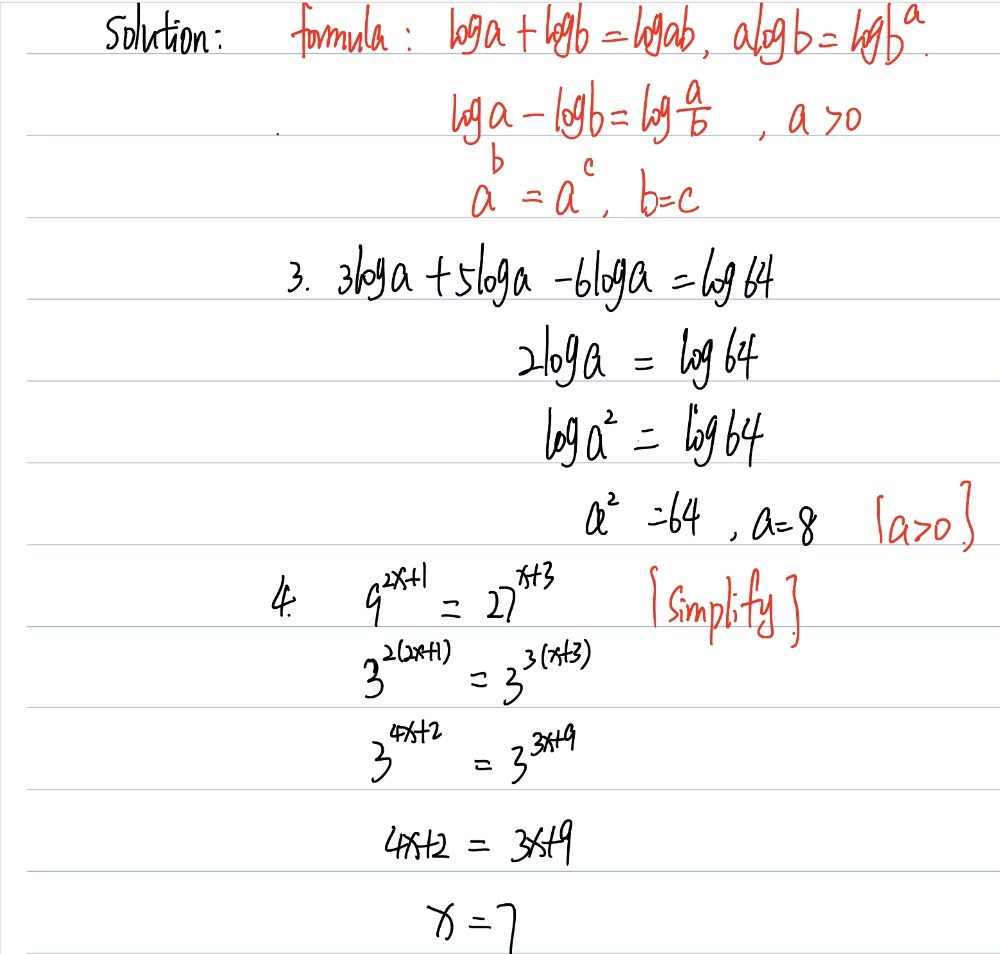
3 27 2 x= log 5 125 3 x= log 2 (1=4) 4 2 = log x (16) 5 3 = log 2 x Section 2 Rules of Logarithms 5 2 Rules of Logarithms Let a;M;Nbe positive real numbers and kbe any number Then the following important rules apply to logarithms 1 log a MN = log a M log a N 2 log a M N = log a M log a N 3 log a mk = klog a M 4 log aLog_ {2} (x)log_ {2} (x2) = 3 \square!Solve your math problems using our free math solver with stepbystep solutions Our math solver supports basic math, prealgebra, algebra, trigonometry, calculus and more



Snippets Gitlab



Arunabha Guha Arunabhaguha560 Profile Pinterest
Log base 2 calculator finds the log function result in base two Calculate the log2(x) logarithm of a real number, find log base 2 of a numberHi, log2 64=x 2^x = 64 2^x = 2^6 x = 62(logx)^23(log4)^2=7log4logx log4≈606 2(logx)^=logx 2(logx)^logx=0 solve for logx using quadratic formula logx= x=10^ x≈2 or logx= x=10^ x≈64 Check for x=2 2/log(base x)43/log(base 4)x =2/log2(4) 3/log4(2) =2/23/(1/2) =16=7 for x=64 2/log(base x)43/log(base 4)x =2



Logarithms Using The Graphing Calculator



B 5x10 C 7 5 X 10 0 75 10 2 3 1 F 3lo Gauthmath
Evaluate log base 8 of 64 log8 (64) log 8 ( 64) Rewrite as an equation log8(64) = x log 8 ( 64) = x Rewrite log8 (64) = x log 8 ( 64) = x in exponential form using the definition of a logarithm If x x and b b are positive real numbers and b b does not equal 1 1, then logb (x) = y log b ( x) = y is equivalent to by = x b y = xView review lesson 28docx from ENGLISH ENGLISH 10 at Warhill High 1 4 = 64 x 2 log (64) 4 3 y = e 3 4 log(x) log(x) = 2 5 2log(x) log(x ) log(2/x) log(x) 2 6 Evaluate log (45) 3 7Solve your math problems using our free math solver with stepbystep solutions Our math solver supports basic math, prealgebra, algebra, trigonometry, calculus and more



Experiment 2 For The 4th And 5th Minutes Of Resource Ratio Download Scientific Diagram



Exponential And Logarithmic Ppt Download
Use the rules of exponents and logarithms to solve the equation 4^ {x1}=64 4 x 1 = 6 4 Take the logarithm of both sides of the equation Take the logarithm of both sides of the equation \log (4^ {x1})=\log (64) lo g ( 4 x 1) = lo g ( 6 4) The logarithm of a number raised to a power is the power times the logarithm of the numberThe base 2 logarithm of 4 is 2, because 2 raised to the power of 2 is 4 log 3 9 = 2, because 3 2 = 9 This is an example of a base3 logarithm We call it a base3 logarithm because 3 is the number that is raised to a power The most common logarithms are natural logarithms and base 10 logarithms There are special notations for themThe base of the following log is x logx(64) = 3/2base = x log = exponent = 3/2 result = 64x^(3/2) = 64x = (64



Solved Solve Give Exact Answers If Possible Otherwise Round To Two Decimal Places A 64 X 4 1 16 X B 5 X 1 5 X 2 2500 D 1 2 X Course Hero



Ml Aggarwal Class 9 Solutions For Icse Maths Chapter 9 Logarithms A Plus Topper
Evaluate log base 2 of 64 log2 (64) log 2 ( 64) Rewrite as an equation log2(64) = x log 2 ( 64) = x Rewrite log2 (64) = x log 2 ( 64) = x in exponential form using the definition of a logarithm If x x and b b are positive real numbers and b b does not equal 1 1, then logb (x) = y log b ( x) = y is equivalent to by = x b y = xExtended Keyboard Examples Upload Random Compute answers using Wolfram's breakthrough technology & knowledgebase, relied on by millions of students & professionals For math, science, nutrition, history, geography, engineering, mathematics, linguistics, sports, finance, musicB y = x And for any x and b, there is x = log b b x The logarithm to base b = 10 is called the common logarithm and has many applications in science and engineering The natural logarithm has the constant e (approximately equal to ) as its base The binary logarithm uses base b = 2 and is prominent in computer science



Chapter 5 Review Part Iii Solve Each Equation 15 Log 64 3 X 4 16 1 Log 5 X 3 17 216 2 Log



My Publications L6th Maths Mock Revision Page 6 Created With Publitas Com
Solving logarithms without a calculatorExample log3(9)In mathematics, the logarithm is the inverse function to exponentiationThat means the logarithm of a given number x is the exponent to which another fixed number, the base b, must be raised, to produce that number xIn the simplest case, the logarithm counts the number of occurrences of the same factor in repeated multiplication;Find x for log 2 (x) log 2 (x3) = 2 Solution Using the product rule log 2 (x∙(x3)) = 2 Changing the logarithm form according to the logarithm definition x∙(x3) = 2 2 Or x 23x4 = 0 Solving the quadratic equation x 1,2 = 3±√(916) / 2 = 3±5 / 2 = 4,1 Since the logarithm is not defined for negative numbers, the answer is x = 4 Problem #2 Find x for



2



Solve Log 6 9 Log 9 27 Log 8 X Log 64 X Log 6 4
Algebra > Logarithm Solvers, Trainers and Word Problems > SOLUTION solve log(base b) (x^27) = 2/3 log (base b) 64 Log On Algebra Logarithm Section Solvers SolversAbout Press Copyright Contact us Creators Advertise Developers Terms Privacy Policy & Safety How works Test new features Press Copyright Contact us CreatorsAnswer Calculation To evaluate the logarithm of 64 to the base 2(2)½, we need to recall the formula to transform logarithm from a known base a to another base b The formula is log N to the base b = (1/logₐb) x logₐN where N is any numb



Runtimes In Log Scale And Speedups Of All Calculations For The Model Download Scientific Diagram



Exploring Exponential Models Algebra 2 Lesson 8 1
Calculate the Logarithm Result The base 64 logarithm of 2 is or log 64 2 = Notes i) e and pi are accepted values ii) 12 x 103 should be entered as 12e3 and iii) 12 x 103 as 12e3Algebra > Logarithm Solvers, Trainers and Word Problems > SOLUTION how to solve logx 49/64= 2 solve for x logx 2=1/3 simplify log2 2^2=log5 5^2log4 4^2 find antilog base of 9 power of 3 write as a single logarithim 3 log(y^29)4 Log On8 Prove the following statements (1) logp b x = 2log x (2) log p1 b p x = log x (3) log 4 x2 = log p x 9 Given that log2 = x, log3 = y and log7 = z, express the following expressions



Expanding Logarithms Chilimath



Ppt Solve Log 2 2 X 1 Log 2 X 2 Powerpoint Presentation Free Download Id
Show Source You can put this solution on YOUR website!You can put this solution on YOUR website! Explanation Recall that log2(8) = 3, ⇒ 23 = 8 let log64( 1 2) = x 64x = 1 2 64 = 26 64x = 26x 1 2 = 2−1 26x = 2−1



Staghl4 Xgovmm



Dvsd Org
Get stepbystep solutions from expert tutors as fast as 1530 minutes Your first 5 questions are on us!Algebra Solve for x log base 64 of x=2/3 log64 (x) = 2 3 log 64 ( x) = 2 3 Rewrite log64(x) = 2 3 log 64 ( x) = 2 3 in exponential form using the definition of a logarithm If x x and b b are positive real numbers and b b ≠ ≠ 1 1, then logb(x) = y log b ( x)Logx 64 = 4, solve for x



Cache Tradeinn Com



Logaritmo Resolucion De Ecuaciones Parte 1 Curiqueo Pedro Youtube
Get stepbystep solutions from expert tutors as fast as 1530 minutes Your first 5 questions are on us! Log243log64log3 with the base 3,2,root3 give me a simplify of these 👍 👎 👁 aiman I read that as log 3 243 log 2 64 log √3 3 notice that 3^5 = 243 , 2^6 = 64 and (√3)^2 = 3Solve your math problems using our free math solver with stepbystep solutions Our math solver supports basic math, prealgebra, algebra, trigonometry, calculus and more



How To Install Ubuntu Server On Your Raspberry Pi Ubuntu



Solve For X When 3 1 4 Log Base 64 Of 4x Math Algebra Equations
New questions in Mathematics What's 11 B21 C69 D4 An object is launched from 100 feet above the ground The function that models the height, in feet, of the object after t seconds is given by f (t) = 16° 962 1802 = − 1 3 × 1 log x 64 2 = − 1 3 Therefore, the values of both sides of the logarithmic equation are same So, the value x = 8 is also true value Therefore, the literal x has two solutions and they are 4 and 8 and it is the required solution for this logarithmic problem in mathematics x=8 log64 = log2^6 = 6log2 = 2(3log2) = 2log2^3 = 2log8 But we are given log64=2logx Hence x=8



L15 Reshite Neravenstva Log 64x 4 Log 2 0 5 8x Menshe Ili Ravno 3



Refprop Nist
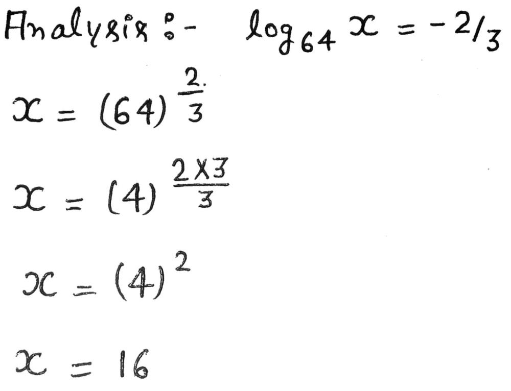
log_64 8=1/2 We will use the Defn of log fun to find the desired value Recall that, log_ba=x iff b^x=a So, log_64 8=x rArr 64^x=8 rArr (8^2)^x=8 rArr 8^(2x)=8^1 As log fun is 11, we must have, 2x=1," giving, "x=1/2 log_64 8=1/2Find stepbystep Algebra 2 solutions and your answer to the following textbook question Write each equation in its equivalent exponential form Then solve for x $$ \log _ { 64 } x = \frac { 2 } { 3Eg since 1000 = 10 × 10 × 10 = 10 3, the "logarithm base



Log2 X 8 Log3 1 X 2 3 1 9 Logr 3 X 3 Log 6 36 Log6 N 2 Log4 64 Log Pdf Document



Contribution Of Substrate Reorganization Energies Of Electron Transfer To Laccase Activity Physical Chemistry Chemical Physics Rsc Publishing Doi 10 1039 C9cpb



1



Phương Trinh Logarithm Pdf



The Exponential Form Log 64 To Base 4 3 Is



Logs In Calculations Solved Examples Algebra Cuemath



Solved Solve Give Exact Answers If Possible Otherwise Round To Two Decimal Places A 64 X 4 1 16 X B 5 X 1 5 X 2 2500 D 1 2 X Course Hero



Find X In The Following Equation 2 5 Log Bx Z Log19 Chegg Com



Solved 3 8 Express The Equation In Exponential Form B Chegg Com



Javascript Typed Arrays Javascript Mdn



Find Real Value Of X For Which Log 9 Base 6 Log 27 Base 9 Log X Base 8 Log X Base 64 Log 4 Base Brainly In



Logarithms Logs Log Ln Lg



X86 64 Wikipedia



The Equation Log X 2 16 Log 2x 64 3 Has A One Irrational Solution B No Prime Solution Two Real Solutions D No Integral Solution



2



Logarithms And Equation Solving Ppt Download



Natural Logarithm An Overview Sciencedirect Topics



Www Mathvn Com Bt Mu Logarit Mathvn Com



1 7 Gaussian Processes Scikit Learn 1 0 Documentation



4 3 Logarithms 4 4 Properties Of Logarithms



6 Solve Each Of The Following Equations A Log X Chegg Com



2



Log 64 To The Base X 3 2 Brainly In



B 5x10 C 7 5 X 10 0 75 10 2 3 1 F 3lo Gauthmath



Quantifying Entanglement In A 68 Billion Dimensional Quantum State Space Nature Communications



11 Exponential And Logarithmic Equations A Solve Chegg Com



2



Introduction To Logs 2 Teaching Resources



Mathworksheets4kids Com



2



Expanding Logarithms Chilimath



Doc Jika 2 Log X 3 Namiroh Dewi Utami Academia Edu



Social Media Image Sizes For 21 Cheat Sheet For Every Network



Solve The Following Equation For X Algebraically Chegg Com



2 3 X 2 Log 64 1 2 X 2 Log 16 Sederhanakan Brainly Co Id



Pomogite Reshit Sistemu Uravnenij Log Po Osnovaniyu 9 X Y 1 2 Log Po Osnovaniyu 64 X Shkolnye Znaniya Com



Help With 14 B Ask Manytutors



Choose The Correct Answer Given That Log 64 X 2 6 What Is The V



Module 4 Exponential And Logarithmic Functions



Logarithms Problems Solving Set 2 Class 04 Algebra Engineering Math Online Civil Study Youtube



2



If Log 4 X Log 8 X 2 Log 16 X 3 23 2 Then Log X 8



Doc Contoh Soal Dan Pembahasan Persamaan Dan Fungsi Logaritma Azmha Budhy Academia Edu



Example 1 Logarithmic Form Exponential Form A Log2 16 4 24 16 B Ppt Video Online Download



If X Left Log 2 X Right 2 6 Log 2 X 11 64 Then X Is Oqual To 12 29 3 Longdiv 8 4 1



Primate Cell Fusion Disentangles Gene Regulatory Divergence In Neurodevelopment Nature



Answered Use Properties Of Logarithms To Bartleby



2



Figure 1 From Dual Tree Wavelet Scattering Network With Parametric Log Transformation For Object Classification Semantic Scholar



Korpisworld Com



Log Table 21 Logarithm Table With Examples Questions



Ip Go 100 Voip Ip Phones Panasonic Kx Hdv130



If Log102 0 3010 Then Log564 Is Equal To



2



If Log X2 Log X 16 2 Log X 64 2



Ib Topic 1 5 1 7 Logarithms Youtube



Maggieevans Weebly Com



2 Log 243 2x Y 6 Find X Andy If Log 64 X Y 3 Find Chegg Com



If Log2 A And Log 3 B Then Express Log 25 8 In Terms Of A And B Quora



Justin Priscillabcd Twitter



Algebra 2 Study Guide Chapter 8 Name



Github Axkr Symja Android Library Symja Computer Algebra Language Symbolic Math Library A Collection Of Popular Algorithms Implemented In Pure Java



Find The Value Of The Product Log3 64 Log4 3 Log3 8 Log4 9 X Log2 3 Log8 3 Log3 4 Log3 4 Sarthaks Econnect Largest Online Education Community



A Zero Forcing Approximate Log Likelihood Receiver For Mimo Bit Interleaved Coded Modulation Semantic Scholar



Choose The Correct Answer Given That Log 64 X 2 6 What Is The Value Of X A 2 B 4 C 6 D 8 Brainly In



Log2 X 8 Log3 1 X 2 3 1 9 Logr 3 X 3 Log 6 36 Log6 N 2 Log4 64 Log Pdf Document



Solved Solve Give Exact Answers If Possible Otherwise Round To Two Decimal Places A 64 X 4 1 16 X B 5 X 1 5 X 2 2500 D 1 2 X Course Hero



2



3 Tick The Correct Option The Value Of X In Gauthmath



1 Kreis Und Gn Grundwissen Mathematik Fur Die Jahrgangsstufe 10 Pdf Kostenfreier Download



Warm Up 2 1 Rewrite In Log Form 5 4 Ppt Download



Exponential And Logarithm Function



Alissakitchens Weebly Com



Pytorch Lightning



Fqmucvgqh7eodm



Logarithm Basics The Logarithm Base A Of B Is The Exponent You Put On A To Get B I E Logs Give You Exponents Definition Of Logarithm A 0 And B Ppt Download



Blog Archives Taxigenerator
コメント
コメントを投稿